ФизикаЧасть 1. Физические основы механики1.3. Законы сохранения энергии, импульса и момента импульса → Задача № 1.196

(И.Е. Иродов. Задачи по общей физике - скачать весь задачник в DjVu, 3,5 Мб)

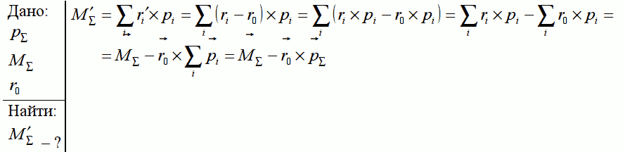
Условие задачи:

Некоторая система частиц имеет суммарный импульс p и момент импульса M относительно точки O. Найти ее момент импульса M' относительно точки O', положение которой по отношению к точке O определяется радиус-вектором r0. Выяснить, в каком случае момент импульса системы частиц не будет зависеть от выбора точки O.

<< задача 1.195 || задача 1.197 >>

Решение задачи:

Решение задачи - Законы сохранения энергии, импульса и момента импульса