ФизикаЧасть 1. Физические основы механики1.4. Всемирное тяготение → Задача № 1.224

(И.Е. Иродов. Задачи по общей физике - скачать весь задачник в DjVu, 3,5 Мб)

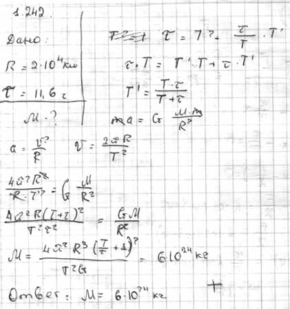
Условие задачи:

Спутник, движущийся по круговой орбите радиуса R = 2,00*104 км в экваториальной плоскости Земли с Запада на Восток, появляется над некоторым пунктом на экваторе через каждые τ = 11,6 ч. Вычислить на основании этих данных массу Земли. Гравитационная постоянная предполагается известной.

<< задача 1.221 || задача 1.234 >>

Решение задачи:

Решение задачи - Всемирное тяготение