ФизикаЧасть 1. Физические основы механики1.1. Кинематика → Задача № 1.27

(И.Е. Иродов. Задачи по общей физике - скачать весь задачник в DjVu, 3,5 Мб)

Условие задачи:

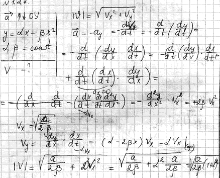
Частица движется в плоскости ху с постоянным ускорением w, направление которого противоположно положительному направлению оси у. Уравнение траектории частицы имеет вид у = ах-bx2, где а и b - положительные постоянные. Найти скорость частицы в начале координат.

<< задача 1.26 || задача 1.29 >>

Решение задачи:

Решение задачи - Кинематика