ФизикаЧасть 1. Физические основы механики1.7. Гидродинамика → Задача № 1.328

(И.Е. Иродов. Задачи по общей физике - скачать весь задачник в DjVu, 3,5 Мб)

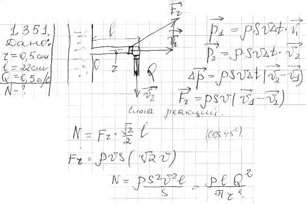
Условие задачи:

Вода вытекает из большого бака по изогнутой под прямым углом трубке, внутренний радиус которой r = 0,50 см (рис. 1.87). Длина горизонтальной части трубки l = 22 см. Расход воды Q = 0,50 л/с. Найти момент сил реакции воды на стенки этой трубки относительно точки О, обусловленный течением воды.

<< задача 1.319 || задача 1.334 >>

Решение задачи:

Решение задачи - Гидродинамика