ФизикаЧасть 1. Физические основы механики1.1. Кинематика → Задача № 1.46

(И.Е. Иродов. Задачи по общей физике - скачать весь задачник в DjVu, 3,5 Мб)

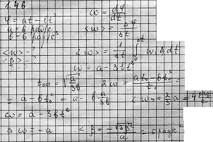
Условие задачи:

Твердое тело вращается вокруг неподвижной оси по закону φ = at - bt3, где а = 6,0 рад/с, b = 2,0 рад/с3. Найти:
а) средние значения угловой скорости и углового ускорения за промежуток времени от t = 0 до остановки;
б) угловое ускорение в момент остановки тела.

<< задача 1.45 || задача 1.47 >>

Решение задачи:

Решение задачи - Кинематика