ФизикаЧасть 2. Термодинамика и молекулярная физика2.3. Молекулярно-кинетическая теория. Распределения Максвелла и Больцмана → Задача № 2.110

(И.Е. Иродов. Задачи по общей физике - скачать весь задачник в DjVu, 3,5 Мб)

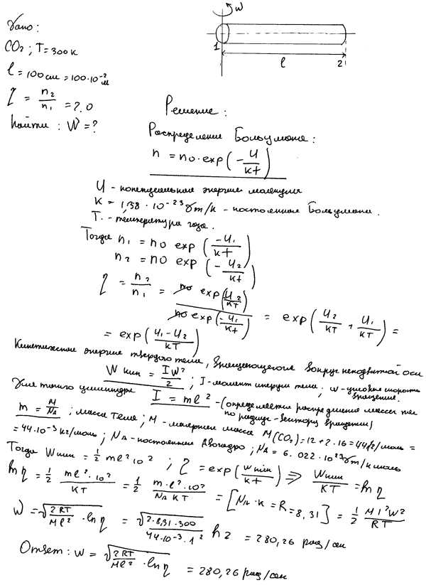
Условие задачи:

Горизонтально расположенную трубку с закрытыми торцами вращают с постоянной угловой скоростью ω вокруг вертикальной оси, проходящей через один из ее торцов. В трубке находится углекислый газ при температуре Т = 300 К. Длина трубки l = 100 см. Найти значение ω, при котором отношение концентраций молекул у противоположных, торцов трубки η = 2,0.

<< задача 2.109 || задача 2.113 >>

Решение задачи:

Решение задачи - Молекулярно-кинетическая теория. Распределения Максвелла и Больцмана