ФизикаЧасть 2. Термодинамика и молекулярная физика2.2. Первое начало термодинамики. Теплоемкость → Задача № 2.44

(И.Е. Иродов. Задачи по общей физике - скачать весь задачник в DjVu, 3,5 Мб)

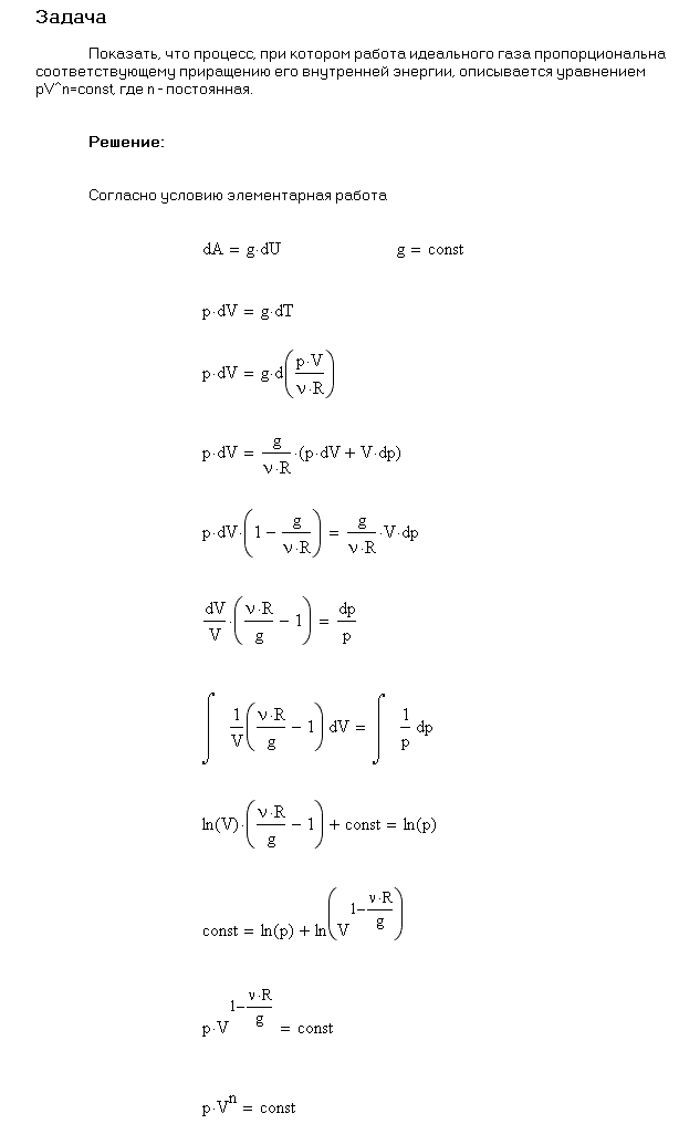
Условие задачи:

Показать, что процесс, при котором работа идеального газа пропорциональна соответствующему приращению его внутренней энергии, описывается уравнением pVn = const, где n — постоянная.

<< задача 2.43 || задача 2.45 >>

Решение задачи:

Решение задачи - Первое начало термодинамики. Теплоемкость