ФизикаЧасть 2. Термодинамика и молекулярная физика2.3. Молекулярно-кинетическая теория. Распределения Максвелла и Больцмана → Задача № 2.95

(И.Е. Иродов. Задачи по общей физике - скачать весь задачник в DjVu, 3,5 Мб)

Условие задачи:

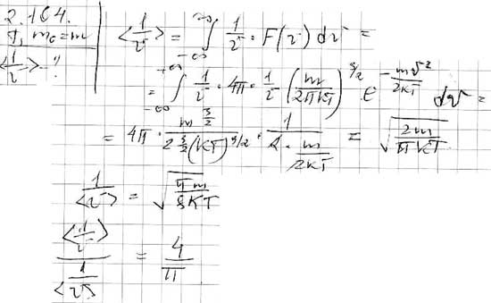
Воспользовавшись распределением Максвелла, найти <1/v> — среднее значение обратной скорости молекул идеального газа, находящегося при температуре Т, если масса каждой молекулы m. Сравнить полученную величину с обратной величиной средней скорости.

<< задача 2.92 || задача 2.100 >>

Решение задачи:

Решение задачи - Молекулярно-кинетическая теория. Распределения Максвелла и Больцмана