ФизикаЧасть 3. Электродинамика3.3. Электроемкость. Энергия электрического поля → Задача № 3.124

(И.Е. Иродов. Задачи по общей физике - скачать весь задачник в DjVu, 3,5 Мб)

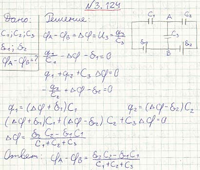
Условие задачи:

Найти разность потенциалов φA — φB между точками А и В схемы (рис. 3.26).

<< задача 3.123 || задача 3.127 >>

Решение задачи:

Решение задачи - Электроемкость. Энергия электрического поля