ФизикаЧасть 3. Электродинамика3.5. Постоянное магнитное поле. Магнетики → Задача № 3.221

(И.Е. Иродов. Задачи по общей физике - скачать весь задачник в DjVu, 3,5 Мб)

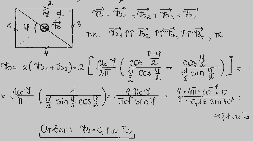
Условие задачи:

Найти индукцию магнитного поля в центре контура, имеющего вид прямоугольника, если его диагональ d = 16 см, угол между диагоналями φ = 30° и ток в контуре I = 5,0 А.

<< задача 3.220 || задача 3.222 >>

Решение задачи:

Решение задачи - Постоянное магнитное поле. Магнетики