ФизикаЧасть 3. Электродинамика3.5. Постоянное магнитное поле. Магнетики → Задача № 3.240

(И.Е. Иродов. Задачи по общей физике - скачать весь задачник в DjVu, 3,5 Мб)

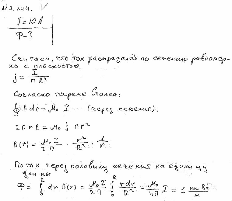
Условие задачи:

Постоянный ток I = 10 А течет по длинному прямому проводнику круглого сечения. Найти магнитный поток через одну из половин осевого сечения проводника в расчете на один метр его длины.

<< задача 3.237 || задача 3.242 >>

Решение задачи:

Решение задачи - Постоянное магнитное поле. Магнетики