ФизикаЧасть 3. Электродинамика3.2. Проводники и диэлектрики в электрическом поле → Задача № 3.87

(И.Е. Иродов. Задачи по общей физике - скачать весь задачник в DjVu, 3,5 Мб)

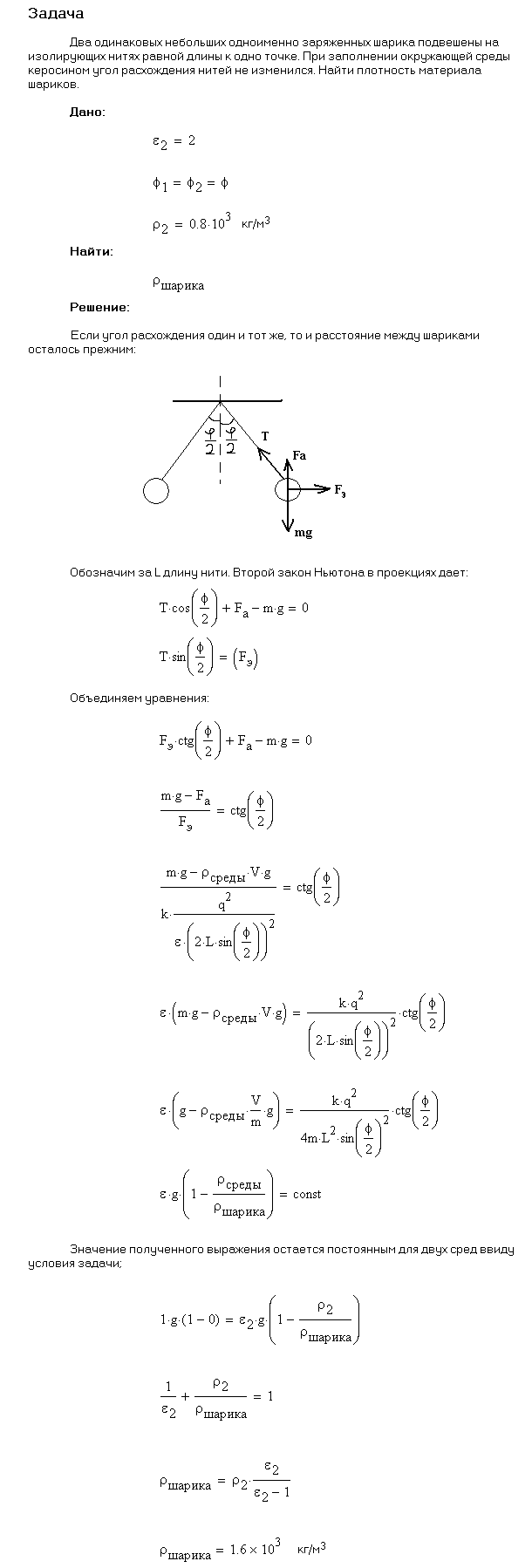
Условие задачи:

Два одинаковых небольших одноименно заряженных шарика подвешены на изолирующих нитях равной длины к одной точке. При заполнении окружающей среды керосином угол расхождения нитей не изменился. Найти плотность материала шариков.

<< задача 3.86 || задача 3.89 >>

Решение задачи:

Решение задачи - Проводники и диэлектрики в электрическом поле