ФизикаЧасть 4. Колебания и волны4.1. Механические колебания → Задача № 4.55

(И.Е. Иродов. Задачи по общей физике - скачать весь задачник в DjVu, 3,5 Мб)

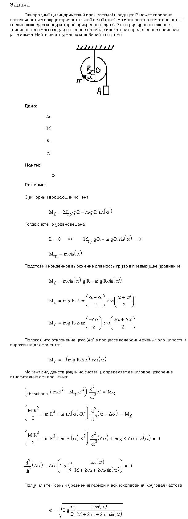
Условие задачи:

Однородный цилиндрический блок массы M и радиуса R может свободно поворачиваться вокруг горизонтальной оси О (рис. 4.17). На блок плотно намотана нить, к свешивающемуся концу которой прикреплен груз А. Этот груз уравновешивает точечное тело массы m, укрепленное на ободе блока, при определенном значении угла α. Найти частоту малых колебаний системы.

<< задача 4.54 || задача 4.60 >>

Решение задачи:

Решение задачи - Механические колебания