ФизикаЧасть 4. Колебания и волны4.1. Механические колебания → Задача № 4.83

(И.Е. Иродов. Задачи по общей физике - скачать весь задачник в DjVu, 3,5 Мб)

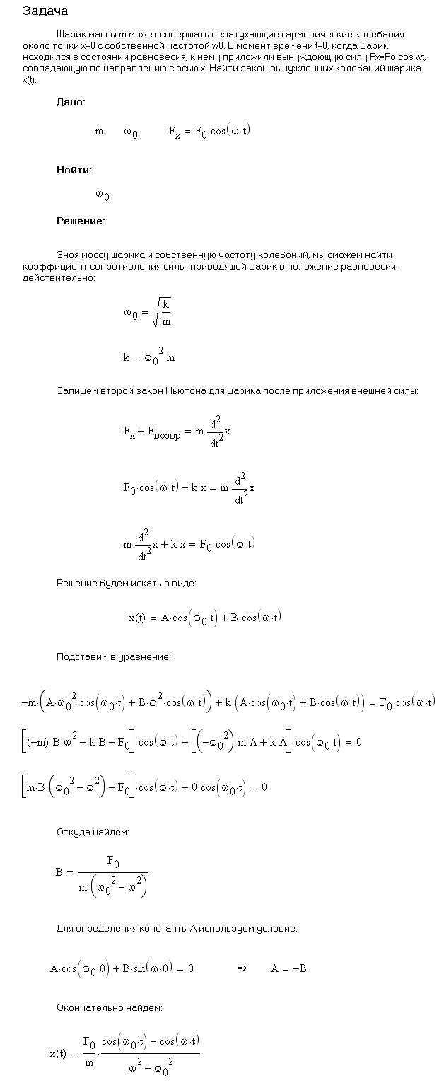
Условие задачи:

Шарик массы m может совершать незатухающие гармонические колебания около точки x = 0 с собственной частотой ω0. В момент t = 0, когда шарик находился в состоянии равновесия, к нему приложили вынуждающую силу F = F0 cos ωt, совпадающую по направлению с осью x. Найти уравнение вынужденных колебаний шарика х (t).

<< задача 4.81 || задача 4.96 >>

Решение задачи:

Решение задачи - Механические колебания