ФизикаЧасть 5. Оптика5.7. Тепловое излучение. Квантовая природа света → Задача № 5.263

(И.Е. Иродов. Задачи по общей физике - скачать весь задачник в DjVu, 3,5 Мб)

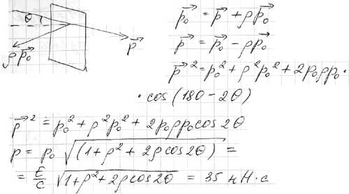
Условие задачи:

Короткий импульс света с энергией E = 7,5 Дж в виде узкого почти параллельного пучка падает на зеркальную пластинку с коэффициентом отражения ρ = 0,60. Угол падения ϑ = 30°. Определить с помощью корпускулярных представлений импульс, переданный пластинке.

<< задача 5.262 || задача 5.264 >>

Решение задачи:

Решение задачи - Тепловое излучение. Квантовая природа света