Решебник по физикеЧертов, ВоробьевГлава 2. Молекулярная физика и термодинамика§ 11. Физические основы термодинамики → Задача № 11.28

(Чертов А. Г., Воробьев А. А. Задачник по физике - скачать весь задачник в DjVu, 9,3 Мб)

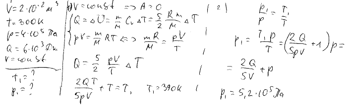
Условие задачи:

Баллон вместимостью V=20 л содержит водород при температуре T= 300 К под давлением p=0,4 МПа. Каковы будут температура T1 и давление p1, если газу сообщить количество теплоты Q=6 кДж?

<< задача 11.27 || задача 11.29 >>

Решение задачи:

Решение задачи - Физические основы термодинамики