Решебник по физикеЧертов, ВоробьевГлава 2. Молекулярная физика и термодинамика§ 11. Физические основы термодинамики → Задача № 11.3

(Чертов А. Г., Воробьев А. А. Задачник по физике - скачать весь задачник в DjVu, 9,3 Мб)

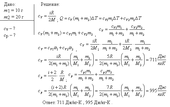
Условие задачи:

Каковы удельные теплоемкости cV и cp смеси газов, содержащей кислород массой m1=10 г и азот массой m2=20 г?

<< задача 11.2 || задача 11.4 >>

Решение задачи:

Решение задачи - Физические основы термодинамики