Решебник по физикеЧертов, ВоробьевГлава 2. Молекулярная физика и термодинамика§ 11. Физические основы термодинамики → Задача № 11.42

(Чертов А. Г., Воробьев А. А. Задачник по физике - скачать весь задачник в DjVu, 9,3 Мб)

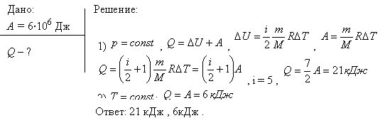
Условие задачи:

Расширяясь, водород совершил работу A=6 кДж. Определить количество теплоты Q, подведенное к газу, если процесс протекал: 1) изобарно; 2) изотермически.

<< задача 11.41 || задача 11.44 >>

Решение задачи:

Решение задачи - Физические основы термодинамики