Решебник по физикеЧертов, ВоробьевГлава 2. Молекулярная физика и термодинамика§ 11. Физические основы термодинамики → Задача № 11.68

(Чертов А. Г., Воробьев А. А. Задачник по физике - скачать весь задачник в DjVu, 9,3 Мб)

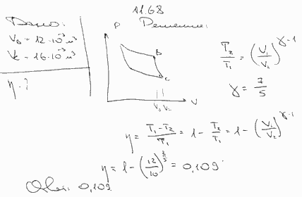
Условие задачи:

Идеальный двухатомный газ совершает цикл Карно, график которого изображен на рис. 11.5. Объемы газа в состояниях В и С соответственно V1=12 л и V2=16 л. Найти термический КПД η цикла.

<< задача 11.67 || задача 11.69 >>

Решение задачи:

Решение задачи - Физические основы термодинамики