Решебник по физикеЧертов, ВоробьевГлава 2. Молекулярная физика и термодинамика§ 12. Реальные газы. Жидкости → Задача № 12.25

(Чертов А. Г., Воробьев А. А. Задачник по физике - скачать весь задачник в DjVu, 9,3 Мб)

Условие задачи:

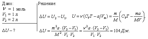
Определить изменение ΔU внутренней энергии неона, содержащего количество вещества ν=1 моль, при изотермическом расширении его объема от V1=1 л до V2=2 л.

<< задача 12.24 || задача 12.26 >>

Решение задачи:

Решение задачи - Реальные газы. Жидкости