Решебник по физикеЧертов, ВоробьевГлава 3. Электростатика§ 18. Энергия заряженного проводника. Энергия электрического поля → Задача № 18.3

(Чертов А. Г., Воробьев А. А. Задачник по физике - скачать весь задачник в DjVu, 9,3 Мб)

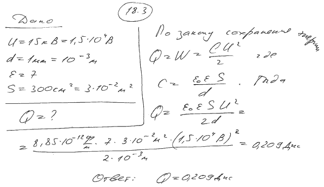
Условие задачи:

Какое количество теплоты Q выделится при разряде плоского конденсатора, если разность потенциалов U между пластинами равна 15 кВ, расстояние d=1 мм, диэлектрик — слюда и площадь S каждой пластины равна 300 см2?

<< задача 18.2 || задача 18.4 >>

Решение задачи:

Решение задачи - Энергия заряженного проводника. Энергия электрического поля