Решебник по физикеЧертов, ВоробьевГлава 5. Электромагнетизм§ 24. Закон полного тока. Магнитный поток. Магнитные цепи → Задача № 24.5

(Чертов А. Г., Воробьев А. А. Задачник по физике - скачать весь задачник в DjVu, 9,3 Мб)

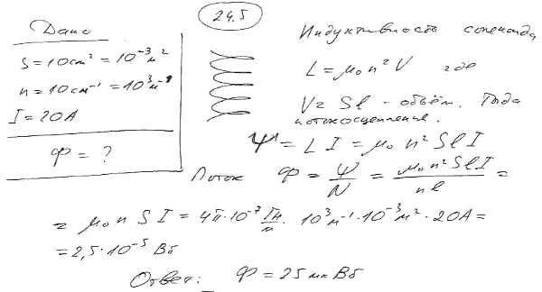
Условие задачи:

Найти магнитный поток Ф, создаваемый соленоидом сечением S=10 см2, если он имеет n=10 витков на каждый сантиметр его длины при силе тока I=20 А.

<< задача 24.3 || задача 24.6 >>

Решение задачи:

Решение задачи - Закон полного тока. Магнитный поток. Магнитные цепи