Решебник по физикеЧертов, ВоробьевГлава 1. Физические основы механики§ 2. Динамика материальной точки и тела, движущихся поступательно → Задача № 2.40

(Чертов А. Г., Воробьев А. А. Задачник по физике - скачать весь задачник в DjVu, 9,3 Мб)

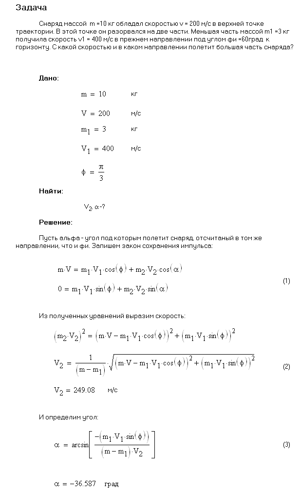
Условие задачи:

В предыдущей задаче найти, с какой скоростью u2 и под каким углом φ2 к горизонту полетит большая часть снаряда, если меньшая полетела вперед под углом φ1=60° к горизонту.

<< задача 2.39 || задача 2.41 >>

Решение задачи:

Решение задачи - Динамика материальной точки и тела, движущихся поступательно