Решебник по физикеЧертов, ВоробьевГлава 1. Физические основы механики§ 2. Динамика материальной точки и тела, движущихся поступательно → Задача № 2.87

(Чертов А. Г., Воробьев А. А. Задачник по физике - скачать весь задачник в DjVu, 9,3 Мб)

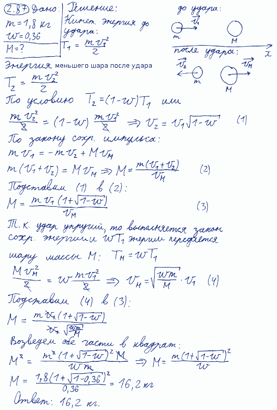
Условие задачи:

Шар массой m=1,8 кг сталкивается с покоящимся шаром большей массы M. В результате прямого упругого удара шар потерял w=0,36 своей кинетической энергии T1. Определить массу большего шара.

<< задача 2.86 || задача 2.88 >>

Решение задачи:

Решение задачи - Динамика материальной точки и тела, движущихся поступательно