Решебник по физикеЧертов, ВоробьевГлава 6. Оптика§ 30. Интерференция света → Задача № 30.1

(Чертов А. Г., Воробьев А. А. Задачник по физике - скачать весь задачник в DjVu, 9,3 Мб)

Условие задачи:

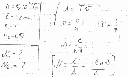
Сколько длин волн монохроматического света с частотой колебаний ν=5*1014 Гц уложится на пути длиной l=1,2 мм: 1) в вакууме; 2) в стекле?

<< задача 29.23 || задача 30.2 >>

Решение задачи:

Решение задачи - Интерференция света