Решебник по физикеЧертов, ВоробьевГлава 6. Оптика§ 31. Дифракция света → Задача № 31.22

(Чертов А. Г., Воробьев А. А. Задачник по физике - скачать весь задачник в DjVu, 9,3 Мб)

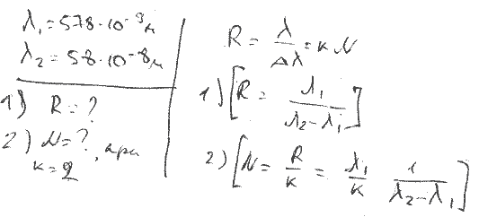
Условие задачи:

Какой наименьшей разрешающей силой R должна обладать дифракционная решетка, чтобы с ее помощью можно было разрешить две спектральные линии калия (λ1=578 нм и λ2=580 нм)? Какое наименьшее число N штрихов должна иметь эта решетка, чтобы разрешение было возможно в спектре второго порядка?

<< задача 31.21 || задача 31.23 >>

Решение задачи:

Решение задачи - Дифракция света