Решебник по физикеЧертов, ВоробьевГлава 9. Элементы квантовой механики§ 45. Волновые свойства микрочастиц → Задача № 45.8

(Чертов А. Г., Воробьев А. А. Задачник по физике - скачать весь задачник в DjVu, 9,3 Мб)

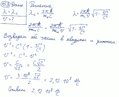
Условие задачи:

С какой скоростью движется электрон, если длина волны де Бройля λ электрона равна его комптоновской длине волны λC?

<< задача 45.7 || задача 45.9 >>

Решение задачи:

Решение задачи - Волновые свойства микрочастиц