Решебник по физикеЧертов, ВоробьевГлава 1. Физические основы механики§ 6. Механические колебания → Задача № 6.16

(Чертов А. Г., Воробьев А. А. Задачник по физике - скачать весь задачник в DjVu, 9,3 Мб)

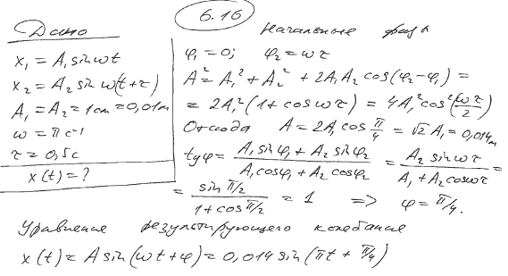
Условие задачи:

Определить амплитуду A и начальную фазу φ результирующего колебания, возникающего при сложении двух колебаний одинаковых направления и периода: x1=A1 sin ωt и x2=A2 sin ω(t+τ), где A1=A2=1 см; ω=π с-1; τ=0,5 с. Найти уравнение результирующего колебания.

<< задача 6.15 || задача 6.17 >>

Решение задачи:

Решение задачи - Механические колебания