Решебник по физикеСавельевЧасть 1. Физические основы механики1.8. Всемирное тяготение → Задача № 1.215

(Савельев И.В. Сборник вопросов и задач по общей физике - скачать в DjVu, 3,2 Мб)

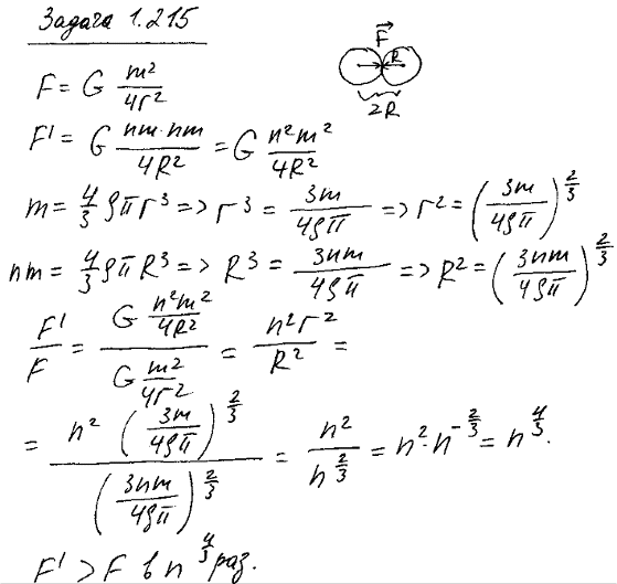
Условие задачи:

Два одинаковых однородных шара, соприкасаясь, притягивают друг друга с силой F. Как изменится сила, если увеличить массу шаров в n раз? Материал, из которого изготовлены шары, предполагается одним и тем же.

Решение задачи:

Решение задачи - Всемирное тяготение