Решебник по физикеСавельевЧасть 1. Физические основы механики1.2. Динамика материальной точки и поступательного движения тела. Работа и мощность → Задача № 1.59

(Савельев И.В. Сборник вопросов и задач по общей физике - скачать в DjVu, 3,2 Мб)

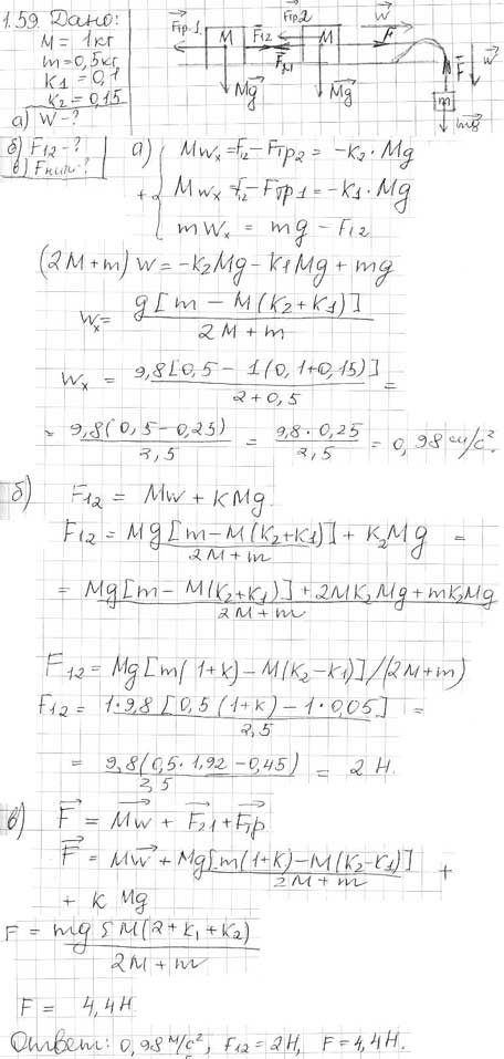
Условие задачи:

На горизонтальном столе лежат два тела массы M=1,000 кг каждое. Тела связаны невесомой нерастяжимой нитью (рис. 1.11). Такая же нить связывает тело 2 с грузом массы m=0,500 кг. Нить может скользить без трения по изогнутому желобу, укрепленному на краю стола. Коэффициент трения первого тела со столом k1=0,100, второго тела k2=0,150. Найти:
а) ускорение w, с которым движутся тела,
б) натяжение F12 нити, связывающей тела 1 и 2,
в) натяжение F нити, на которой висит груз.

Решение задачи:

Решение задачи - Динамика материальной точки и поступательного движения тела. Работа и мощность