Решебник по физикеСавельевЧасть 1. Физические основы механики1.1. Кинематика → Задача № 1.6

(Савельев И.В. Сборник вопросов и задач по общей физике - скачать в DjVu, 3,2 Мб)

Условие задачи:

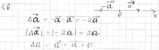
Вектор a изменил направление на обратное. Найти: Δa, |Δa|, Δa.

Решение задачи:

Решение задачи - Кинематика