Решебник по физикеСавельевЧасть 1. Физические основы механики1.1. Кинематика → Задача № 1.9

(Савельев И.В. Сборник вопросов и задач по общей физике - скачать в DjVu, 3,2 Мб)

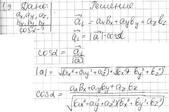
Условие задачи:

Написать выражение для косинуса угла α между векторами с компонентами ax, ay, az и bx, by, bz.

Решение задачи:

Решение задачи - Кинематика