Решебник по физикеСавельевЧасть 2. Молекулярная физика и термодинамика2.7. Уравнение Ван-дер-Ваальса → Задача № 2.165

(Савельев И.В. Сборник вопросов и задач по общей физике - скачать в DjVu, 3,2 Мб)

Условие задачи:

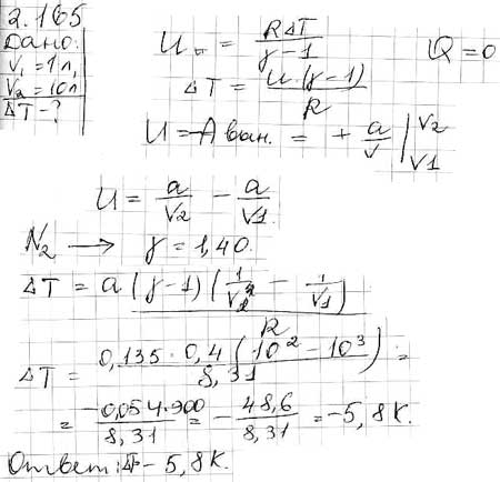
Моль азота расширяется адиабатически в пустоту, в результате чего объем газа увеличивается от значения V1=1,00 л до V2=10,0 л. Определить приращение температуры газа ΔT.

Решение задачи:

Решение задачи - Уравнение Ван-дер-Ваальса