Решебник по физикеСавельевЧасть 3. Электричество и магнетизм3.5. Электрический ток → Задача № 3.157

(Савельев И.В. Сборник вопросов и задач по общей физике - скачать в DjVu, 3,2 Мб)

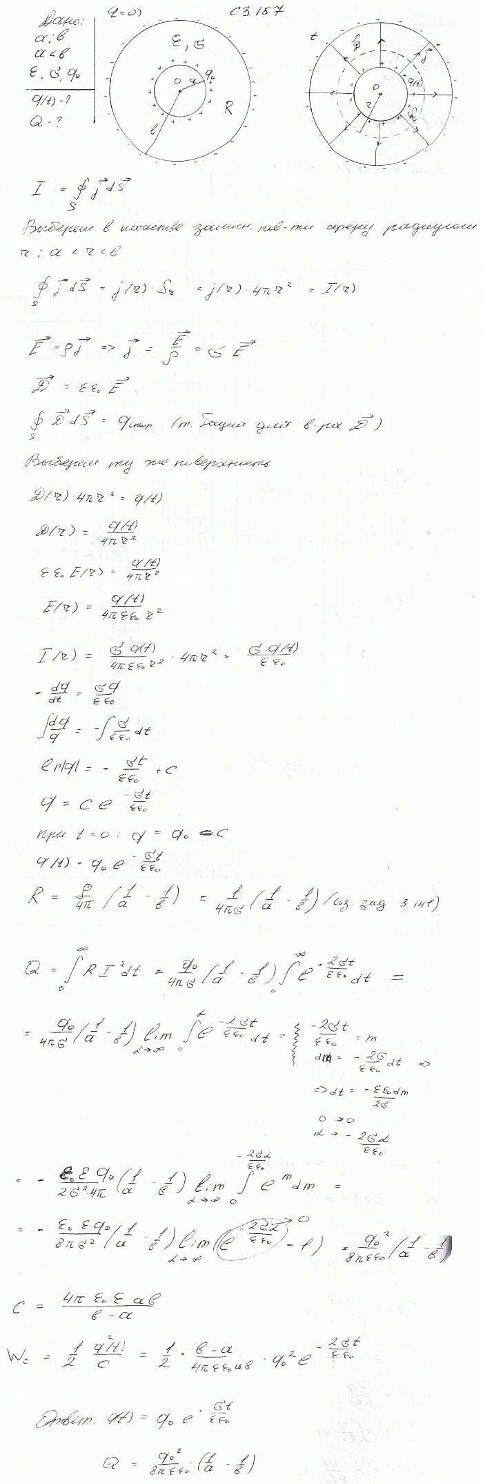
Условие задачи:

Радиусы обкладок сферического конденсатора равны a и b (a<b). Пространство между обкладками заполнено веществом с проницаемостью ε и удельной проводимостью σ. Первоначально конденсатор не заряжен. Затем внутренней обкладке сообщается заряд q0. Найти:
а) закон изменения заряда q на внутренней обкладке,
б) количество теплоты Q, выделяющееся при растекании заряда; сравнить Q с изменением электрической энергии конденсатора.

Решение задачи:

Решение задачи - Электрический ток