Решебник по физикеСавельевЧасть 3. Электричество и магнетизм3.6. Магнитное поле в вакууме → Задача № 3.176

(Савельев И.В. Сборник вопросов и задач по общей физике - скачать в DjVu, 3,2 Мб)

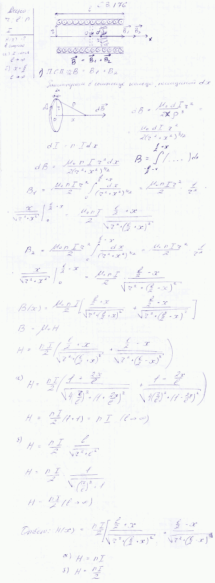
Условие задачи:

Соленоид радиуса r и длины l имеет на единицу длины n витков. По соленоиду течет ток силы I. Определить напряженность поля H на оси соленоида как функцию расстояния x от его центра. Исследовать случаи:
а) x конечное, l→∞,
б) x=l/2, l→∞.

Решение задачи:

Решение задачи - Магнитное поле в вакууме