Решение задачи 18.28 из сборника Мещерского по теоретической механике

(Физика → Термех → Решебник Мещерского → Плоское движение твердого тела → Ускорения точек твердого тела в плоском движении. Мгновенный центр ускорений)

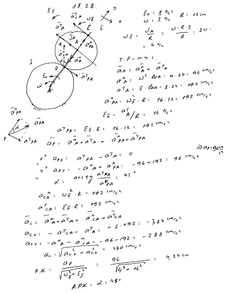
Условие задачи

Шестеренка радиуса R=12 см приводится в движение кривошипом OA, вращающимся вокруг оси O неподвижной шестеренки с тем же радиусом; кривошип вращается с угловым ускорением ε0=8 рад/с2, имея в данный момент угловую скорость ω=2 рад/с. Определить:
1) ускорение той точки подвижной шестеренки, которая в данный момент совпадает с мгновенным центром скоростей,
2) ускорение диаметрально противоположной точки N и
3) положение мгновенного центра ускорений K.

<< задача 18.27 || задача 18.29 >>

Решение задачи

Мещерский 18.28 - Ускорения точек твердого тела в плоском движении, мгновенный центр ускорений