Решение задачи 18.39 из сборника Мещерского по теоретической механике

(Физика → Термех → Решебник Мещерского → Плоское движение твердого тела → Ускорения точек твердого тела в плоском движении. Мгновенный центр ускорений)

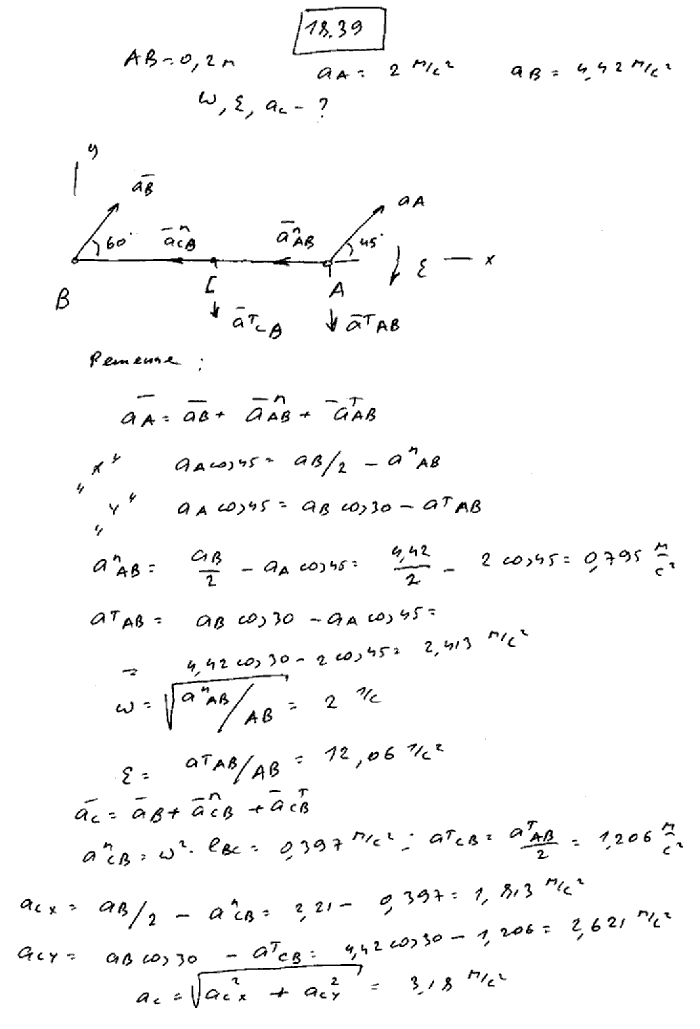
Условие задачи

Стержень AB длины 0,2 м движется в плоскости рисунка. Ускорение точки A wA (wA=2 м/с2) образует угол 45° с осью x, совмещенной со стержнем. Ускорение точки B wB (wB=4,42 м/с2) расположено под углом 60° к оси x. Найти угловую скорость, угловое ускорение стержня и ускорение его середины C.

<< задача 18.38 || задача 18.40 >>

Решение задачи

Мещерский 18.39 - Ускорения точек твердого тела в плоском движении, мгновенный центр ускорений