Решение задачи 22.18 из сборника Мещерского по теоретической механике

(Физика → Термех → Решебник Мещерского → Сложное движение точки → Сложение скоростей точки)

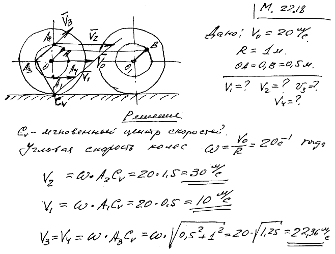
Условие задачи

Найти абсолютную скорость какой-либо точки M спарника AB, соединяющего кривошипы OA и O1B осей O и O1, если радиусы колес одинаковы: R=1 м; радиусы кривошипов: OA=O1B=0,5 м. Скорость экипажа v0=20 м/с. Скорость точки M определить для четырех моментов, когда кривошипы OA и O1B либо вертикальны, либо горизонтальны. Колеса катятся по рельсам без скольжения.

<< задача 22.17 || задача 22.19 >>

Решение задачи

Мещерский 22.18 - Сложение скоростей точки