Решение задачи 27.17 из сборника Мещерского по теоретической механике

(Физика → Термех → Решебник Мещерского → Динамика материальной точки → Дифференциальные уравнения движения)

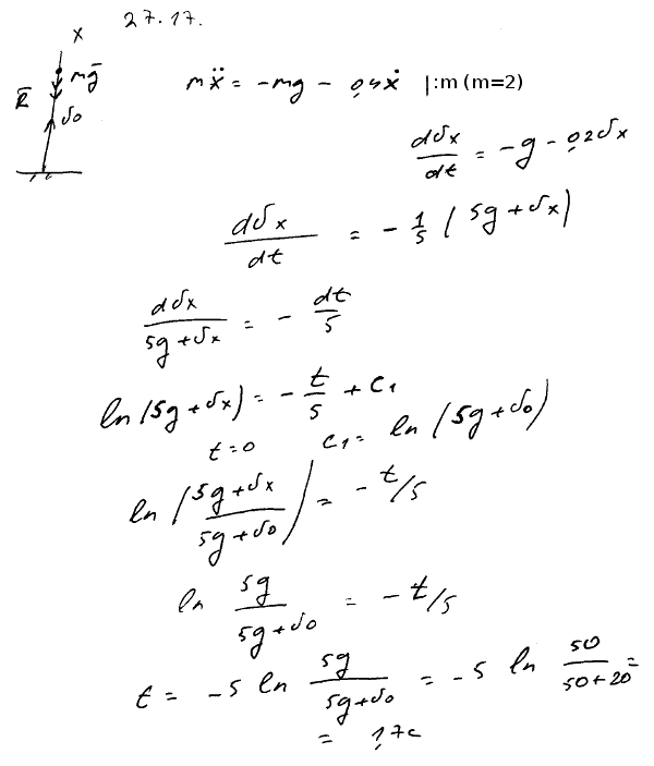
Условие задачи

Тело массы 2 кг, брошенное вертикально вверх со скоростью 20 м/с, испытывает сопротивление воздуха, которое при скорости v м/с равно 0,4v Н. Найти, через сколько секунд тело достигнет наивысшего положения.

<< задача 27.16 || задача 27.18 >>

Решение задачи

Мещерский 27.17 - Дифференциальные уравнения движения