Решение задачи 27.58 из сборника Мещерского по теоретической механике

(Физика → Термех → Решебник Мещерского → Динамика материальной точки → Дифференциальные уравнения движения)

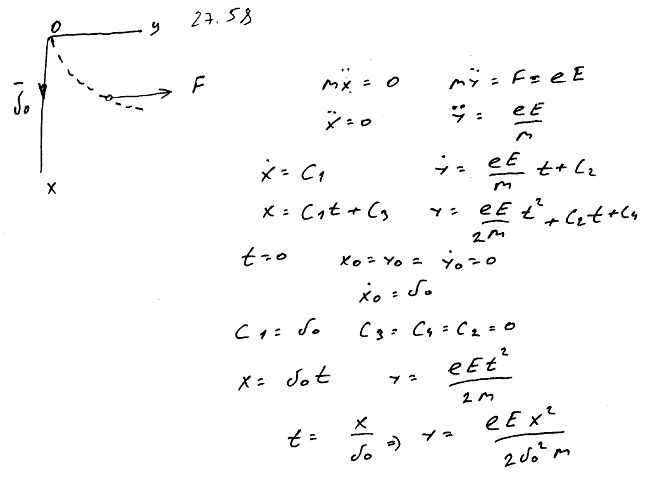
Условие задачи

Частица массы m, несущая заряд отрицательного электричества e, вступает в однородное электрическое поле напряжения E со скоростью v0, перпендикулярной направлению напряжения поля. Определить траекторию дальнейшего движения частицы, зная, что в электрическом поле на нее действует сила F=eE, направленная в сторону, противоположную напряжению E; действием силы тяжести пренебречь.

<< задача 27.57 || задача 27.59 >>

Решение задачи

Мещерский 27.58 - Дифференциальные уравнения движения