Решение задачи 32.18 из сборника Мещерского по теоретической механике

(Физика → Термех → Решебник Мещерского → Динамика материальной точки → Колебательное движение)

Условие задачи

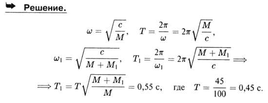
Тело массы M=12 кг, прикрепленное к концу пружины, совершает гармонические колебания. При помощи секундомера установлено, что тело совершило 100 полных колебаний за 45 с. После этого к концу пружины добавочно прикрепили груз массы M1=6 кг. Определить период колебаний двух грузов на пружине.

<< задача 32.17 || задача 32.19 >>

Решение задачи

Мещерский 32.18 - Колебательное движение