Решение задачи 33.12 из сборника Мещерского по теоретической механике

(Физика → Термех → Решебник Мещерского → Динамика материальной точки → Относительное движение)

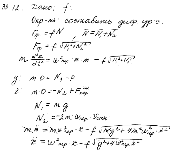
Условие задачи

В условиях задачи 33.10 составить дифференциальное уравнение движения тела в трубке, если коэффициент трения скольжения между телом и трубкой равен f.

<< задача 33.11 || задача 33.13 >>

Решение задачи

Мещерский 33.12 - Относительное движение