Решение задачи 47.16 из сборника Мещерского по теоретической механике

(Физика → Термех → Решебник Мещерского → Аналитическая механика → Общее уравнение динамики)

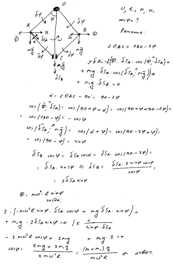
Условие задачи

Центробежный регулятор вращается вокруг вертикальной оси с постоянной угловой скоростью ω. Определить угол отклонения ручек OA и OB от вертикали, принимая во внимание только массу M каждого из шаров и массу M1 муфты C, все стержни имеют одинаковую длину l.

<< задача 47.15 || задача 47.17 >>

Решение задачи

Мещерский 47.16 - Общее уравнение динамики