Решение задачи 47.4 из сборника Мещерского по теоретической механике

(Физика → Термех → Решебник Мещерского → Аналитическая механика → Общее уравнение динамики)

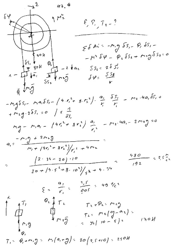
Условие задачи

При условии предыдущей задачи определить угловое ускорение ε и натяжения T1 и T2 нитей, принимая во внимание массы барабанов, при следующих данных: M1=20 кг, M2=34 кг, r1=5 см, r2=10 см; массы барабанов: малого 4 кг и большого 8 кг. Массы барабанов считать равномерно распределенными по их внешним поверхностям.

<< задача 47.3 || задача 47.5 >>

Решение задачи

Мещерский 47.4 - Общее уравнение динамики