Решение задачи 48.29 из сборника Мещерского по теоретической механике

(Физика → Термех → Решебник Мещерского → Аналитическая механика → Уравнения Лагранжа 2-го рода)

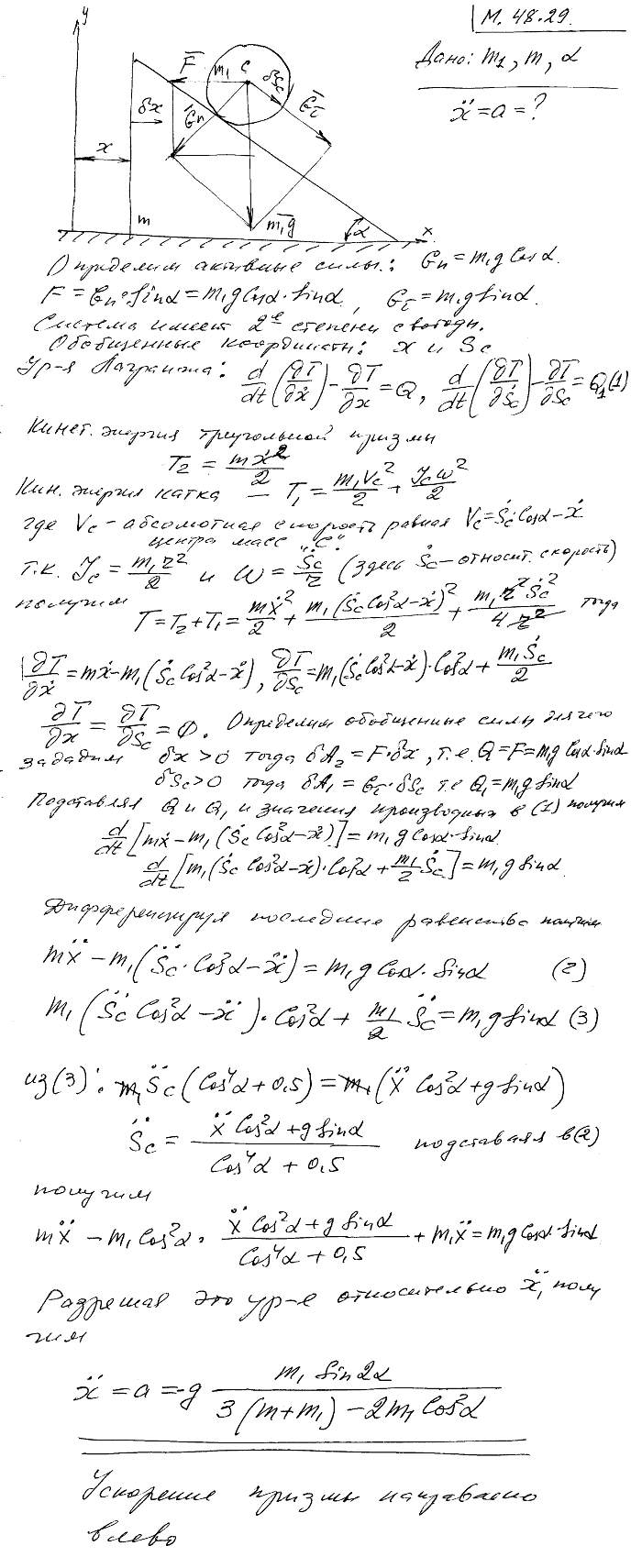
Условие задачи

На гладкой горизонтальной плоскости помещена треугольная призма ABC массы m, которая может скользить без трения по этой плоскости; по грани призмы AB катится без скольжения однородный круглый цилиндр массы m1. Определить ускорение призмы.

<< задача 48.28 || задача 48.30 >>

Решение задачи

Мещерский 48.29 - Уравнения Лагранжа 2-го рода