Решение задачи 4.70 из сборника Мещерского по теоретической механике

(Физика → Термех → Решебник Мещерского → Плоская система сил → Произвольная плоская система сил)

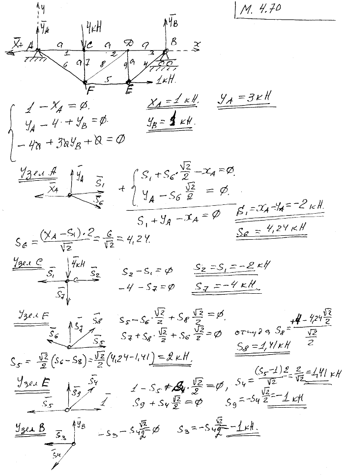
Условие задачи

Определить опорные реакции и усилия в стержнях раскосной фермы, изображенной на рисунке вместе с нагрузкой.

<< задача 4.69 || задача 4.71 >>

Решение задачи

Мещерский 4.70 - Произвольная плоская система сил