Бесплатный решебник Яблонского: С.4 вариант 22

(Физика → Теоретическая механика → Решебник Яблонского → Плоская система сил)

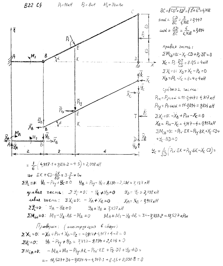
Задание С.4. Определение реакций опор составной конструкции (система трех тел) (к условию задания)

<< С.4 вариант 21 || С.4 вариант 23 >>

Решение задачи С4 В22

Яблонский С4 вариант 22