Бесплатный решебник Яблонского: С.6 вариант 13

(Физика → Теоретическая механика → Решебник Яблонского → Система сил, не лежащих в одной плоскости)

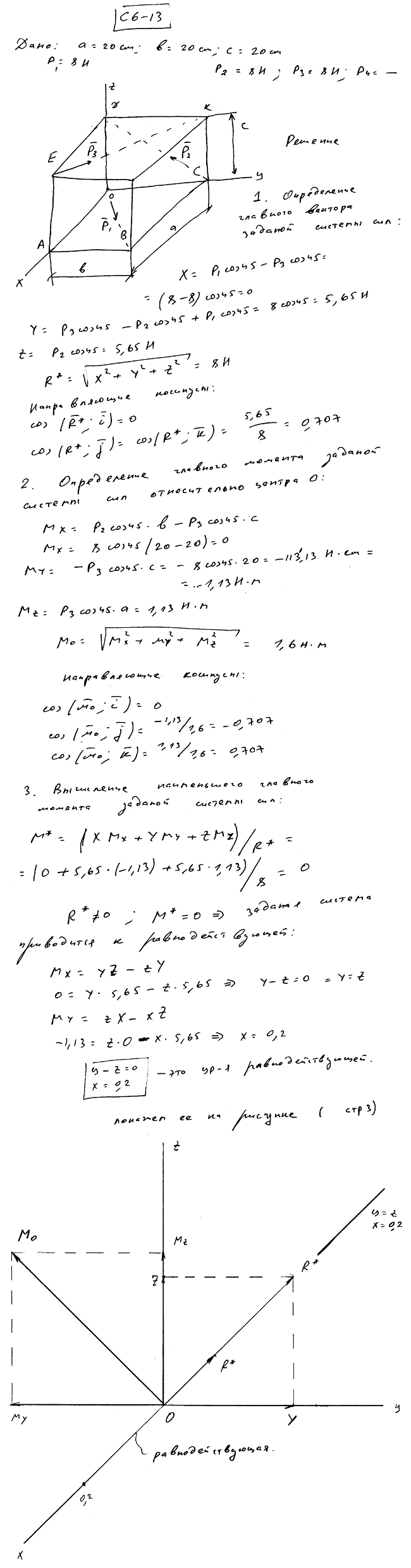
Задание С.6. Приведение системы сил к простейшему виду (к условию задания)

<< С.6 вариант 12 || С.6 вариант 14 >>

Решение задачи С6 В13

Яблонский С6 вариант 13