Бесплатный решебник Яблонского: С.6 вариант 29

(Физика → Теоретическая механика → Решебник Яблонского → Система сил, не лежащих в одной плоскости)

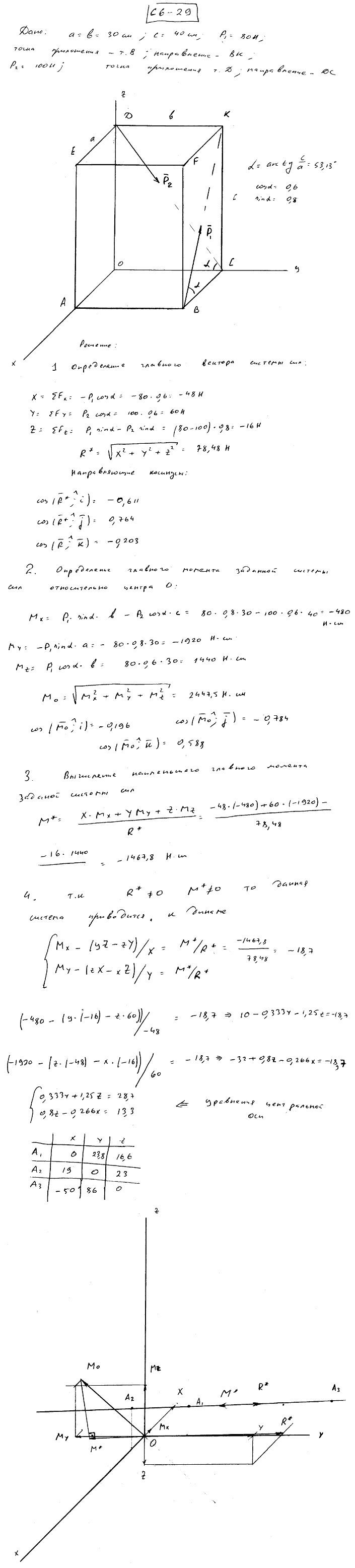
Задание С.6. Приведение системы сил к простейшему виду (к условию задания)

<< С.6 вариант 28 || С.6 вариант 30 >>

Решение задачи С6 В29

Яблонский С6 вариант 29