Бесплатный решебник Яблонского: С.7 вариант 7

(Физика → Теоретическая механика → Решебник Яблонского → Система сил, не лежащих в одной плоскости)

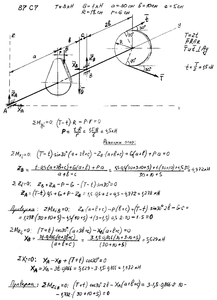
Задание С.7. Определение реакций опор твердого тела (к условию задания)

<< С.7 вариант 6 || С.7 вариант 8 >>

Решение задачи С7 В7

Яблонский С7 вариант 7